오늘은 CNN, ML 알고리즘에서 많이 보이는 Norm에 대해 간단히 정리하려고 합니다.
일반적으로 Deep Learning에서 network의 Overfitting(과적합) 문제를 해결하는 방법으로 3가지 방법을 제시합니다.
1. 더 많은 data를 사용
2. Cross validation
3. Regularization
|
*2번의 cross validation(교차 검증) - 모든 데이터가 최소 한 번은 test set으로 사용하도록 함 - Training set과 Test set을 분리하여 training set에서 모델의 계수를 추정한 후, test set으로 성능을 평가
![]() test set을 어떻게 잡느냐에 따라 성능이 아주 상이하게 나올 경우 우연으로 모델 평가 지표에 편향이 생기게 됨 cross validiation은 모든 data를 test set으로 사용하기 때문에 편향을 줄일 수 있음
장점 - 총 데이터 갯수가 적은 data set에서 정확도 향상 가능 (데이터 추가하지 않고 overfitting 해결 가능)
|
다시 돌아와서, 더 이상 data 추가가 어렵거나, 학습 data를 늘려도 overfitting 문제가 해결되지 않을 때
3번 Regularization을 사용합니다. 이 Regularization은 lose function을 변형시켜 사용합니다.
Regularization(정규화)
- Regulaization을 통해 특정 값을 가지는 outlier의 영향을 적게 받도록 하여 일반화에 적합한 특성을 갖게 만드는 것
- Regularization은 L1과 L2로 나뉨
• L1 Regularization

- L1 Regularization은 1차항
- C0: 원래의 cost function
- n: training data의 개수
- λ: regularization 변수
- w: weight
- w에 대해서 편미분 수행 시

- 상수 값을 빼기 때문에 작은 가중치들은 거의 0으로 수렴 (몇 개의 중요한 가중치만 남음)
- 몇 개의 의미 있는 값을 내고 싶을 때에 효과적
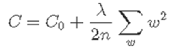
• L2 Regularization

- 학습의 방향을 단순히 C0값이 작아지는 방향으로만 진행시키는 것이 아니라 w값 역시 최소로 작아지는 방향으로 진행
- 새롭게 정의된 cost function을 가중치 w에 대해 편미분 수행 시

- 특정 가중치가 비 이상적으로 커지고, 학습 효과에 큰 영향을 끼치는 것을 방지할 수 있음
NORM
norm이란?
- 수학적으로 벡터 공간 또는 행렬에 있는 모든 벡터의 전체 크기
- 단순화를 위해 표준이 높을수록 행렬 또는 벡터의 값이 커짐

p: norm의 차수 (p의 차수에 따라 L0, L1, L2결정)
n: 대상 벡터의 요소 수
• L0 Norm
- 실제로는 norm이 아님
- 벡터의 0이 아닌 요소의 총 수에 해당
- ex) v(0,0), v(0,2)의 L0 norm의 개수: 1개 (0이 아닌 요소가 1개뿐이기 때문)

• L1 Norm

- Manhattan Distance 또는 Taxicab norm으로 많이 알려짐
- 벡터의 요소에 대한 절대 값
- 벡터 사이의 거리를 측정
- 벡터의 모든 구성 요소에 동일한 가중치가 적용됨
- L1 Regularization, computer vision 영역에서 사용

- 출발지(0,0)에서 목적지(3,4)에 도착하기 위해 블록 사이를 여행하며 거리를 측정하는 방식
- vector X = [3,4] = 7
• L2 Norm

- Euclidean norm이라고도 알려진 가장 일반적인 Norm
- 한 지점에서 다른 지점으로 갈 때의 가장 짧은 거리를 측정

- L2 Norm은 가장 직접적인 경로
- L2 Regularization, KNN알고리즘, K-means 알고리즘에서 사용
- *고려할 점: 벡터의 각 구성 요소가 제곱이 되어있기 때문에 결과 값의 왜곡 가능성이 있음
• L - Infinity Norm
- 벡터 요소 중 가장 큰 크기를 제공
- vector X = [-6,4,2] 일 때, L - Infinity Norm = 6
- 가장 큰 요소만 효과가 있음
- Color pixel에서 R, G, B 최대 차이 계산에 사용
• Maximum Norm
- p값을 무한대로 보냈을 때의 norm
- 벡터 성분의 최댓값

'IT > GAN' 카테고리의 다른 글
| Latent space 간단 정리 (0) | 2019.08.03 |
|---|---|
| Mode collapse 아주 간단 정리 (0) | 2019.08.03 |
| VAE & GAN 간단 비교 (0) | 2019.06.28 |
